Sports events and violence in large cities in the United States

Matt Ashby and Alina Ristea
UCL Department of Security and Crime Science

Sports venues are important features of a city

Fans are heterogeneous

Ristea et al. (2018)

Billings & Depken 2012

Struse and Montolio (2014)

Kurland & Johnson 2019

Klick & MacDonald 2021

Menaker et al 2019

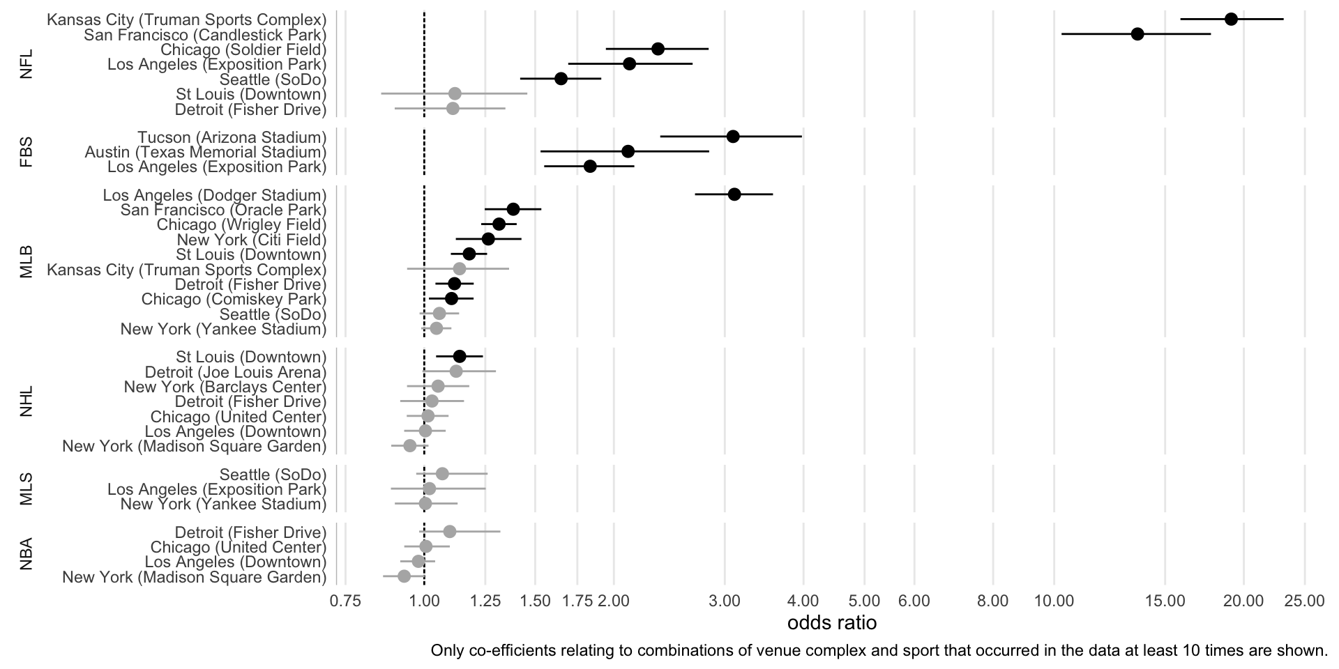
Hypotheses

  • Daily assault frequency around venues will be different on days with sports events
  • Daily assault frequency in largest entertainment district will be different on ways with sports events

Crime data for 10 major US cities, 2010–2019

Event data for six sports, 2010–2019

Austin Chicago Detroit Kansas City Los Angeles New York San Francisco Seattle St Louis Tucson
College football
Major League Baseball
Major League Soccer
National Basketball Association
National Football League
National Hockey League

Model

Estimate relationship between daily count of assaults and:

  • lagged crime count (fixed effect)
  • minutes of daylight (centred, random effect)
  • sporting event (random effect)

Multi-level Bayesian negative-binomial model

Fixed effects: normal prior

Random effects: Student \(t\) prior

Different effects for …

  • different sports
  • different cities
  • venues vs. entertainment districts

These slides: https://lesscrime.info/talk/stockholm-2023

Questions: matthew.ashby@ucl.ac.uk or a.ristea@ucl.ac.uk